Skip to content
Jenkins
log in
Dashboard
Jay9380
My Views
All
STG-CD-Java-Service-Tree-Framework-Backend-Core
Back to Dashboard
Status
Changes
Workspace
trend
W
Description
%
Build stability: No recent builds failed.
100
Build History
No builds
#3973
Dec 20, 2025, 6:07 PM
#3972
Dec 20, 2025, 5:05 PM
#3971
Dec 20, 2025, 4:34 PM
Timeline
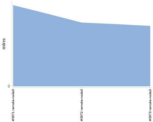
Build Time Trend
Build
Duration
Agent